变直径管流,细断面直径为d1=30mm,雷诺数为5000,粗断面直径d2=2d1,则粗断面管中雷诺数是( )。A. 5000B. 4000C. 2...

作者: rantiku 人气: - 评论: 0
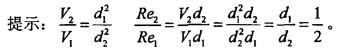
问题 变直径管流,细断面直径为d1=30mm,雷诺数为5000,粗断面直径d2=2d1,则粗断面管中雷诺数是( )。
选项 A. 5000 B. 4000 C. 2500 D. 1250
答案 C
解析

猜你喜欢

发表评论
更多 网友评论0 条评论)
暂无评论

Copyright © 2012-2014 恰考网 Inc. 保留所有权利。 Powered by tikuer.com

页面耗时0.0326秒, 内存占用1.03 MB, Cache:redis,访问数据库16次