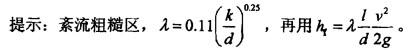
管径d=100mm,粗糙度为k=0.2mm,管长L=500m,管内流速3m/s,已知处于紊流粗糙区。则其沿程损失为( )m。A. 34.5B. 43....

作者: rantiku 人气: - 评论: 0
问题 管径d=100mm,粗糙度为k=0.2mm,管长L=500m,管内流速3m/s,已知处于紊流粗糙区。则其沿程损失为( )m。
选项 A. 34.5 B. 43.3 C. 25.2 D. 53.4
答案 D
解析

猜你喜欢

发表评论
更多 网友评论0 条评论)
暂无评论

Copyright © 2012-2014 恰考网 Inc. 保留所有权利。 Powered by tikuer.com

页面耗时0.0351秒, 内存占用1.03 MB, Cache:redis,访问数据库20次