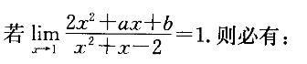
A.a=-1,b=2B.a=-1,b=-2C.a=-1,b=-1D.a=1,b=1

作者: rantiku 人气: - 评论: 0
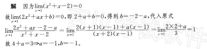
问题
选项 A.a=-1,b=2 B.a=-1,b=-2 C.a=-1,b=-1 D.a=1,b=1
答案 C
解析

猜你喜欢

发表评论
更多 网友评论0 条评论)
暂无评论

Copyright © 2012-2014 恰考网 Inc. 保留所有权利。 Powered by tikuer.com

页面耗时0.0300秒, 内存占用1.01 MB, Cache:redis,访问数据库19次