在波长为λ的驻波中,两个相邻波腹之间的距离为:A. λ/2B.λ/4C. 3λ/4D. λ

作者: rantiku 人气: - 评论: 0
问题 在波长为λ的驻波中,两个相邻波腹之间的距离为:
选项 A. λ/2 B.λ/4 C. 3λ/4 D. λ
答案 A
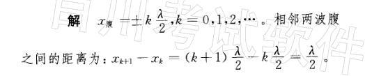
解析

猜你喜欢

发表评论
更多 网友评论0 条评论)
暂无评论

Copyright © 2012-2014 恰考网 Inc. 保留所有权利。 Powered by tikuer.com

页面耗时0.0316秒, 内存占用1.03 MB, Cache:redis,访问数据库18次