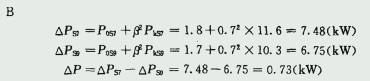
更换后变压器的总有功功功率损耗降低了()。A. 0. 65kW;B. 0. 73kW;C. 0. 78kW;D. 0. 89kW。

作者: rantiku 人气: - 评论: 0
问题 更换后变压器的总有功功功率损耗降低了()。
选项 A. 0. 65kW; B. 0. 73kW; C. 0. 78kW; D. 0. 89kW。
答案 B
解析

猜你喜欢

发表评论
更多 网友评论0 条评论)
暂无评论

访问排行

Copyright © 2012-2014 恰考网 Inc. 保留所有权利。 Powered by tikuer.com

页面耗时0.0528秒, 内存占用1.03 MB, Cache:redis,访问数据库20次