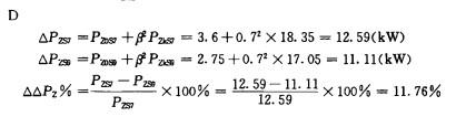
更换后变压器的综合功率损耗比更换前下降了( )A. 2.89%;B.3.05%;C. 5.36%;D. 11.76%,

作者: rantiku 人气: - 评论: 0
问题 更换后变压器的综合功率损耗比更换前下降了( )
选项 A. 2.89%; B.3.05%; C. 5.36%; D. 11.76%,
答案 D
解析

猜你喜欢

发表评论
更多 网友评论0 条评论)
暂无评论

访问排行

Copyright © 2012-2014 恰考网 Inc. 保留所有权利。 Powered by tikuer.com

页面耗时0.0516秒, 内存占用1.03 MB, Cache:redis,访问数据库20次