该项目的总需要系数约为( )。A. 0.32;B 0.42;C. 0.52;D. 0.62。

作者: rantiku 人气: - 评论: 0
问题 该项目的总需要系数约为( )。
选项 A. 0.32; B 0.42; C. 0.52; D. 0.62。
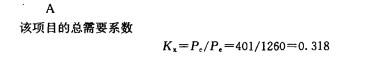
答案 A
解析

猜你喜欢

发表评论
更多 网友评论0 条评论)
暂无评论

访问排行

Copyright © 2012-2014 恰考网 Inc. 保留所有权利。 Powered by tikuer.com

页面耗时0.0321秒, 内存占用1.03 MB, Cache:redis,访问数据库18次