已知地区电网短路容量为150MVA,基准电压为10.5kV,求阻抗的有名值为( ).

作者: rantiku 人气: - 评论: 0
问题 已知地区电网短路容量为150MVA,基准电压为10.5kV,求阻抗的有名值为 ( ).
选项
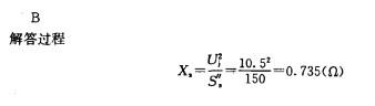
答案 B
解析

猜你喜欢

发表评论
更多 网友评论0 条评论)
暂无评论

访问排行

Copyright © 2012-2014 恰考网 Inc. 保留所有权利。 Powered by tikuer.com

页面耗时0.0864秒, 内存占用1.03 MB, Cache:redis,访问数据库18次