K2点前的综合电抗标幺值为( )。A. 1.617;B 0.555;C. 1.597;D. 1.718,

作者: rantiku 人气: - 评论: 0
问题 K2点前的综合电抗标幺值为( )。
选项 A. 1.617; B 0.555; C. 1.597; D. 1.718,
答案 D
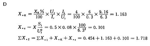
解析
  • 上一篇:
  • 下一篇:

猜你喜欢

发表评论
更多 网友评论0 条评论)
暂无评论

访问排行

Copyright © 2012-2014 恰考网 Inc. 保留所有权利。 Powered by tikuer.com

页面耗时0.0334秒, 内存占用1.03 MB, Cache:redis,访问数据库19次