110/1OkV中性点直接接地系统中,选择变电所变压器中性点的阀型避雷器的参数。工频放电电压下限大于( )。A. 100kV;B. 140kV; ...

作者: rantiku 人气: - 评论: 0
问题 110/1OkV中性点直接接地系统中,选择变电所变压器中性点的阀型避雷器的参数。 工频放电电压下限大于( )。
选项 A. 100kV; B. 140kV; C. 160kV, D. 180kV,
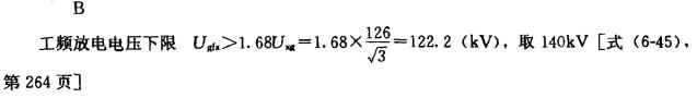
答案 B
解析

猜你喜欢

发表评论
更多 网友评论0 条评论)
暂无评论

访问排行

Copyright © 2012-2014 恰考网 Inc. 保留所有权利。 Powered by tikuer.com

页面耗时0.0394秒, 内存占用1.03 MB, Cache:redis,访问数据库19次