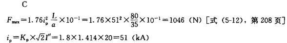
校验电流互感器(瓷绝缘)的外部受力(相向距离a为35cm,计箅长度L为 80cm)为()。A. 950N;B. 1000N;C. 1050N;...

作者: rantiku 人气: - 评论: 0
问题 校验电流互感器(瓷绝缘)的外部受力(相向距离a为35cm,计箅长度L为 80cm)为()。
选项 A. 950N; B. 1000N; C. 1050N; D. 1100N。
答案 C
解析

猜你喜欢

发表评论
更多 网友评论0 条评论)
暂无评论

访问排行

Copyright © 2012-2014 恰考网 Inc. 保留所有权利。 Powered by tikuer.com

页面耗时0.0311秒, 内存占用1.03 MB, Cache:redis,访问数据库19次