考虑电机自启动熔断器额定电流选择为( )。A. 30A ; B 100A, C. 125AiD. 160A.

作者: rantiku 人气: - 评论: 0
问题 考虑电机自启动熔断器额定电流选择为( )。 A. 30A ; B 100A, C. 125AiD. 160
选项 A.
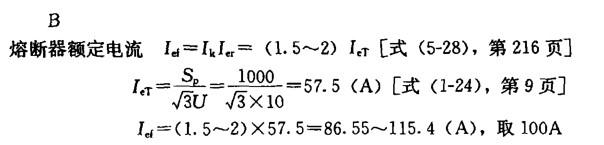
答案 B
解析
  • 上一篇:
  • 下一篇:

猜你喜欢

发表评论
更多 网友评论0 条评论)
暂无评论

访问排行

Copyright © 2012-2014 恰考网 Inc. 保留所有权利。 Powered by tikuer.com

页面耗时0.0411秒, 内存占用1.03 MB, Cache:redis,访问数据库19次