已知蓄电池额定容量为200Ah,直流系统经常负荷为25A,试计算该直流系统的充 电装置额定电流并应满足浮充电、初充电、均衡充电要求。满足浮充电要求的电...

作者: rantiku 人气: - 评论: 0
问题 已知蓄电池额定容量为200Ah,直流系统经常负荷为25A,试计算该直流系统的充 电装置额定电流并应满足浮充电、初充电、均衡充电要求。 满足浮充电要求的电流为( ). A. 25A; B. 26A; C. 27A; D. 28
选项 A。
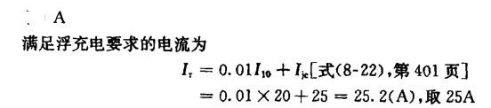
答案 A
解析

猜你喜欢

发表评论
更多 网友评论0 条评论)
暂无评论

访问排行

Copyright © 2012-2014 恰考网 Inc. 保留所有权利。 Powered by tikuer.com

页面耗时0.0501秒, 内存占用1.03 MB, Cache:redis,访问数据库13次