査得形状系数约为().A. 0.5;B. 0.7;C. 0.9;D. 1.1。

作者: rantiku 人气: - 评论: 0
问题 査得形状系数约为().
选项 A. 0.5; B. 0.7; C. 0.9; D. 1.1。
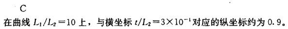
答案 C
解析
  • 上一篇:
  • 下一篇:
发表评论
更多 网友评论0 条评论)
暂无评论

访问排行

Copyright © 2012-2014 恰考网 Inc. 保留所有权利。 Powered by tikuer.com

页面耗时0.0308秒, 内存占用1.03 MB, Cache:redis,访问数据库20次