某工业生产场所,长60m、宽24m、灯具安装高10m,照度标准值2001x,维护系数0.6,显色性无要求,解答下列问题。按(3)方案,400W高压...

作者: rantiku 人气: - 评论: 0
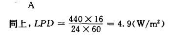
问题 某工业生产场所,长60m、宽24m、灯具安装高10m,照度标准值2001x,维护系数 0.6,显色性无要求,解答下列问题。 按(3)方案,400W高压钠灯,配节能型电感镇流器,功耗为40W,计箅实际的 LPD值为( )。
选项 A. 4. 9W/m2 ; B. 5. 9W/m2 ; C. 6. 9W/m2 ; D. 8W/m2。
答案 A
解析

猜你喜欢

发表评论
更多 网友评论0 条评论)
暂无评论

访问排行

Copyright © 2012-2014 恰考网 Inc. 保留所有权利。 Powered by tikuer.com

页面耗时0.0427秒, 内存占用1.03 MB, Cache:redis,访问数据库20次