某房间,长15m、宽8m、高3. 5m,照度标准3001x,选用T8型直管荧光灯,格栅 灯具,利用系数0.56,维护系数0.8,请设计几种方案。

作者: rantiku 人气: - 评论: 0
问题 某房间,长15m、宽8m、高3. 5m,照度标准3001x,选用T8型直管荧光灯,格栅 灯具,利用系数0.56,维护系数0.8,请设计几种方案。
选项
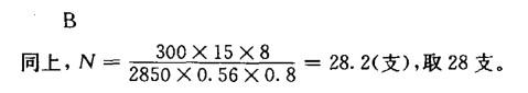
答案 B
解析

猜你喜欢

发表评论
更多 网友评论0 条评论)
暂无评论

访问排行

Copyright © 2012-2014 恰考网 Inc. 保留所有权利。 Powered by tikuer.com

页面耗时0.0351秒, 内存占用1.03 MB, Cache:redis,访问数据库20次