按(2)方案,该厅堂的LPD值为( )。A. 16W/m2 ;B. 22W/m2 ;C 28W/m2;D. 34.7W/m2。

作者: rantiku 人气: - 评论: 0
问题 按(2)方案,该厅堂的LPD值为( )。
选项 A. 16W/m2 ; B. 22W/m2 ; C 28W/m2; D. 34.7W/m2。
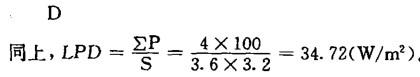
答案 D
解析

猜你喜欢

发表评论
更多 网友评论0 条评论)
暂无评论

访问排行

Copyright © 2012-2014 恰考网 Inc. 保留所有权利。 Powered by tikuer.com

页面耗时0.0411秒, 内存占用1.03 MB, Cache:redis,访问数据库20次