一台额定电压6000V高压交流异步电动机,6000V全压启动时启动转矩为Mst1,现 采用自耦变压器降压启动,自耦变压器的变比为80%。启动前母线电压为5...

作者: rantiku 人气: - 评论: 0
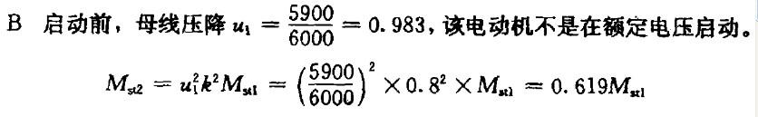
问题 一台额定电压6000V高压交流异步电动机,6000V全压启动时启动转矩为Mst1,现 采用自耦变压器降压启动,自耦变压器的变比为80%。启动前母线电压为5900V。则采用 自耦变压器降压启动时,启动转矩Mst2为()。
选项 A. 0. 564Mst1 E 0. 619Mstl ; C. 0. 642Mst1, ; D. 0.803Mst1;
答案 B
解析

猜你喜欢

发表评论
更多 网友评论0 条评论)
暂无评论

访问排行

Copyright © 2012-2014 恰考网 Inc. 保留所有权利。 Powered by tikuer.com

页面耗时0.0441秒, 内存占用1.03 MB, Cache:redis,访问数据库20次