一台额定电压380V低压交流异步电动机,全压启动时启动转矩为Mstl,现采用 降压启动,启动时电动机端电压为380V。计算采用降压启动时,启动转矩 Mst...

作者: rantiku 人气: - 评论: 0
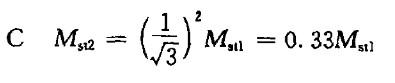
问题 一台额定电压380V低压交流异步电动机,全压启动时启动转矩为Mstl,现采用 降压启动,启动时电动机端电压为380V。计算采用降压启动时,启动转矩 Mst2 为( )。
选项 A. 0. 95Mst1; B. 0. 58Mst1 , C. 0. 33Mst1 D. 0.25Mst1
答案 C
解析

猜你喜欢

发表评论
更多 网友评论0 条评论)
暂无评论

访问排行

Copyright © 2012-2014 恰考网 Inc. 保留所有权利。 Powered by tikuer.com

页面耗时0.0257秒, 内存占用1.03 MB, Cache:redis,访问数据库18次