根据工艺要求,某热连轧机机组F1机架基速为18Or/min,额定负载工作时最高 速为426r/min,最低速为50r/min。该机组调速范围为( )。A....

作者: rantiku 人气: - 评论: 0
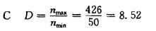
问题 根据工艺要求,某热连轧机机组F1机架基速为18Or/min,额定负载工作时最高 速为426r/min,最低速为50r/min。该机组调速范围为( )。
选项 A. 2. 37:1; B. 3.6:1; C. 8. 52 : 1: D. 10 : 1。
答案 C
解析

猜你喜欢

发表评论
更多 网友评论0 条评论)
暂无评论

访问排行

Copyright © 2012-2014 恰考网 Inc. 保留所有权利。 Powered by tikuer.com

页面耗时0.0347秒, 内存占用1.03 MB, Cache:redis,访问数据库18次