某机械设备配用一台绕线型异步电动机,其额定功率60kW,额定转速590r/min, 转子额定电压330V,转子额定电流112A,试计算该电动机有关参数。 ...

作者: rantiku 人气: - 评论: 0
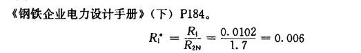
问题 某机械设备配用一台绕线型异步电动机,其额定功率60kW,额定转速590r/min, 转子额定电压330V,转子额定电流112A,试计算该电动机有关参数。 若转子导线长30m,转子导线电阻为0.0102Ω,求转子导线电阻标幺值为( ) (选最接近的一个数据)。
选项 A. 0.002; B. 0. 006; C. 0.02; D. 0. 06。
答案 B
解析

猜你喜欢

发表评论
更多 网友评论0 条评论)
暂无评论

访问排行

Copyright © 2012-2014 恰考网 Inc. 保留所有权利。 Powered by tikuer.com

页面耗时0.0508秒, 内存占用1.03 MB, Cache:redis,访问数据库18次