某生产车间有一台抽风机,生产要求能自启动,抽风机配套的交流异步电动机参数 为:额定电压6000V,额定功率850kW,额定电流97A,启动电流为额定电流的...

作者: rantiku 人气: - 评论: 0
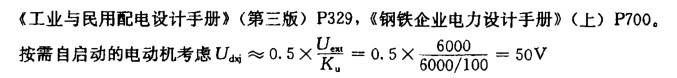
问题 某生产车间有一台抽风机,生产要求能自启动,抽风机配套的交流异步电动机参数 为:额定电压6000V,额定功率850kW,额定电流97A,启动电流为额定电流的5. 8倍, 电动机最大转矩为额定转矩的2. 2倍。电网参数:电网电压6000V,在电网最小运行方式下 电动机端子三相短路时,流过保护的最小三相短路电流为9000A。电动机主回路电流互感器 变比为150/5。电动机电源母线电压互感器变比为6000/100。 如采用低电压保护,下列最符合低电压保护继电器动作电压值是( )。
选项 A. 100V; B. 75V; C. 50V; D. 20V。
答案 C
解析

猜你喜欢

发表评论
更多 网友评论0 条评论)
暂无评论

访问排行

Copyright © 2012-2014 恰考网 Inc. 保留所有权利。 Powered by tikuer.com

页面耗时0.0298秒, 内存占用1.03 MB, Cache:redis,访问数据库17次