地处西南某企业35kV电力用户具有若干10kV变电所。所带负荷等级为三级,其供电系统图和巳知条件如下:1)35kV线路电源侧短路容量为500MV-A。...

作者: rantiku 人气: - 评论: 0
问题 地处西南某企业35kV电力用户具有若干10kV变电所。所带负荷等级为三级,其供电系统图和巳知条件如下: 1)35kV线路电源侧短路容量为500MV-A。 2)35kV电源线路长15km。 3)10kV馈电线路20回,均为截面积185min2的电缆出线,每回平均长度1. 3km 4)35/10kV变电站向车间A馈电线路所设的主保护动作时间和后备保护时间分别为0和0.5s,当主保护装置为速动时,短路电流持续时间为0.2s。 5)车间B变电所3号变压器容量800kV.A,额定电压10/0.4kV,Y,yn0接线,其低压侧计算电流为900A,低压母线载流量为1500
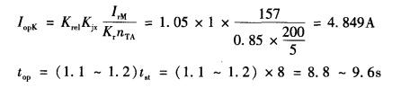
选项 A。 车间C的5号笼型异步电动机负载为螺杆式空气压缩机,额定电流为157A,启动电流倍数为6.5,电动机启动时间为8s,采用定时限继电器为过负载保护,电流互感器变比为200/5,接线系数取1,过负荷保护动作于信号,过负荷保护装置动作整定值和过负荷保护装置动作时间应选取下列哪组数值? ( ) (A)4.9A,9s (B)4.9A,11s (C)5.5A,9s (D)5.5A,11s
答案 A
解析 《工业与民用配电设计手册》(第三版)P324表7-22过负荷保护相关公式。

猜你喜欢

发表评论
更多 网友评论0 条评论)
暂无评论

访问排行

Copyright © 2012-2014 恰考网 Inc. 保留所有权利。 Powered by tikuer.com

页面耗时0.0347秒, 内存占用1.04 MB, Cache:redis,访问数据库20次