地处西南某企业35kV电力用户具有若干10kV变电所。所带负荷等级为三级,其供电系统图和巳知条件如下:1)35kV线路电源侧短路容量为500MV-A。...

作者: rantiku 人气: - 评论: 0
问题 地处西南某企业35kV电力用户具有若干10kV变电所。所带负荷等级为三级,其供电系统图和巳知条件如下: 1)35kV线路电源侧短路容量为500MV-A。 2)35kV电源线路长15km。 3)10kV馈电线路20回,均为截面积185min2的电缆出线,每回平均长度1. 3km 4)35/10kV变电站向车间A馈电线路所设的主保护动作时间和后备保护时间分别为0和0.5s,当主保护装置为速动时,短路电流持续时间为0.2s。 5)车间B变电所3号变压器容量800kV.A,额定电压10/0.4kV,Y,yn0接线,其低压侧计算电流为900A,低压母线载流量为1500
选项 A。 35/10kV变电所向车间A的馈电线路为10kV交联聚乙烯铝芯电缆,敷设在电缆沟中的电路计算负荷电流为45A,通过电流回路最大电流为5160A,按电缆热稳定条件,电缆截面应选择下列哪一项? ( ) (A)25mm2 (B)35mm2 (C)50mm2 (D)70mm2
答案 C
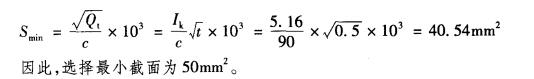
解析 《工业与民用配电设计手册》(第三版)P207中“短路电流持续时间:校验电缆热稳定应釆用后备保护动作时间与断路器分闸时间之和,即t=0.5s”。 《工业与民用配电设计手册》(第三版)P211式(5-26)及P212表5-9。 可得:

猜你喜欢

发表评论
更多 网友评论0 条评论)
暂无评论

访问排行

Copyright © 2012-2014 恰考网 Inc. 保留所有权利。 Powered by tikuer.com

页面耗时0.0538秒, 内存占用1.04 MB, Cache:redis,访问数据库19次