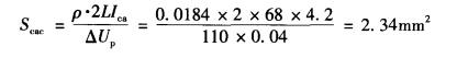
某10kV变电所,10kV系统中性点不接地某一控制、信号回路,额定电压Un= DC110V,电缆长度68m,已知回路最大工作电流4. 2A。按允许电压...

作者: rantiku 人气: - 评论: 0
问题 某10kV变电所,10kV系统中性点不接地 某一控制、信号回路,额定电压Un= DC110V,电缆长度68m,已知回路最大工作电流4. 2
选项 A。按允许电压降△Up =4% Un计算,铜芯电缆的最小截面应为下列哪一项数值?(铜导体电阻系数β=0.0184Ωmm2/m,不考虑敷设条件的影响) ( ) (A)6mm2 ( B)4mm2 (C)2. 5mm2 (D)1. 5mm2
答案 C
解析 《电力工程直流系统设计技术规程》(DL/T 5044 — 2004)附录D式(D.1)

猜你喜欢

发表评论
更多 网友评论0 条评论)
暂无评论

访问排行

Copyright © 2012-2014 恰考网 Inc. 保留所有权利。 Powered by tikuer.com

页面耗时0.0386秒, 内存占用1.03 MB, Cache:redis,访问数据库19次