某厂根据负荷发展需要,拟新建一座110/10kV变电站,用于厂区内10kV负荷的供电,变电所基本情况如下:1)电源取自地区110kV电网(无限大电源容...

作者: rantiku 人气: - 评论: 0
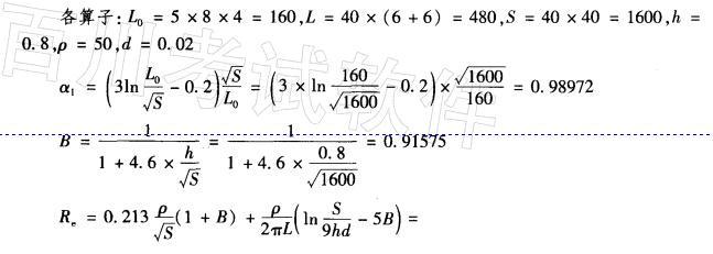
问题 某厂根据负荷发展需要,拟新建一座110/10kV变电站,用于厂区内10kV负荷的供电,变电所基本情况如下: 1)电源取自地区110kV电网(无限大电源容量)。 2)主变釆用两台容量为31.5MV.A三相双绕组自冷有载调压变压器,户外布置。变压器高、低压侧均釆用架空套管进线。 3)每台变压器低压侧配置2组10kV并联电容器,每组容量为2400kvar;用单星形接线,配12%干式空芯电抗器,选用无重燃的真空断路器进行投切。 4)110kV设备釆用GIS户外布置,10kV设备釆用中置柜户内双列布置。 5)变电站接地网水平接地极釆用令20热镀锌圆钢,垂直接地极釆用L50x50x5 热镀锌角钢;接地网埋深0.8m,按下图敷设。 变电站场地均匀土壤电阻率为50(Vm,则本站复合接地网的接地电阻为哪一项?(要求精确计算,小数点保留4位) ( ) (A)0.5886Ω (B)0. 5826Ω (C)0.4741Ω (D)0.4692Ω
选项
答案 B
解析 《交流电气装置的接地设计规范》(GB/T 50065—2011)附录A第A.0.3条。

猜你喜欢

发表评论
更多 网友评论0 条评论)
暂无评论

访问排行

Copyright © 2012-2014 恰考网 Inc. 保留所有权利。 Powered by tikuer.com

页面耗时0.0481秒, 内存占用1.03 MB, Cache:redis,访问数据库16次