某35/10kV变电所,其10kV母线短路容量为78MV·A(基准容量100MV·A),10kV计算负荷有功功率6000kW,自然功率因数0.75。请回答...

作者: rantiku 人气: - 评论: 0
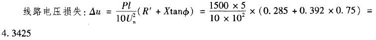
问题 某35/10kV变电所,其10kV母线短路容量为78MV·A(基准容量100MV·A),10kV计算负荷有功功率6000kW,自然功率因数0.75。请回答下列问题。 该变电所10kV侧有一路长度为5km的LGJ——120架空供电线路,该线路的计算有功功率为1500kW,自然功率因数0.8,请计算该供电线路电压损失应为下列哪一项数值?(LGJ——120 导线电阻为0.285Ω/km,电抗为0.392Ω/km) ( )
选项 A. 3.63% B. 4.34% C. 6.06% D. 5.08%
答案 B
解析 .《工业与民用配电设计手册》(第三版)P254式(6—3)。

猜你喜欢

发表评论
更多 网友评论0 条评论)
暂无评论

访问排行

Copyright © 2012-2014 恰考网 Inc. 保留所有权利。 Powered by tikuer.com

页面耗时0.0406秒, 内存占用1.03 MB, Cache:redis,访问数据库20次