某体育场设有照明设施和管理用房,其场地灯光布置采用四塔照明方式,其中灯塔位置如下图所示。灯塔距场地中心点水平距离为103m,场地照明灯具采用金属卤化物灯。...

作者: rantiku 人气: - 评论: 0
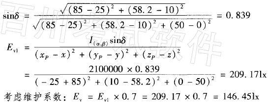
问题 某体育场设有照明设施和管理用房,其场地灯光布置采用四塔照明方式,其中灯塔位置如下图所示。灯塔距场地中心点水平距离为103m,场地照明灯具采用金属卤化物灯。 请回答下列问题。 假设场地中心为参考坐标原点(0,0,0),现灯塔上某一灯具S,其坐标Χ=—85m,y=58.2m,z=50m,其瞄准点为P坐标为xp=—25m,yp=10m,zp=0。若灯具为2000W金属卤化物灯,光源光通量为2000001m,查得投光灯S射向P点的光强值I=2100000cd,灯具维护系数取0.7,计算考虑灯具维护系数后在P点处垂直面照度应为下列哪一项数值? ( )
选项 A. 1461x B. 951x C. 2091x D. 1141x
答案 A
解析 .《照明设计手册》(第二版)P226式(5-76)。

猜你喜欢

发表评论
更多 网友评论0 条评论)
暂无评论

访问排行

Copyright © 2012-2014 恰考网 Inc. 保留所有权利。 Powered by tikuer.com

页面耗时0.0289秒, 内存占用1.03 MB, Cache:redis,访问数据库19次