某工程中有一台直流电动机,额定功率1500kW,额定电压660V,额定电流2500A,采用晶闸管变流器调速,速度反馈不可逆速度调节系统,变流器主电路为三相...

作者: rantiku 人气: - 评论: 0
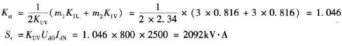
问题 某工程中有一台直流电动机,额定功率1500kW,额定电压660V,额定电流2500A,采用晶闸管变流器调速,速度反馈不可逆速度调节系统,变流器主电路为三相全控桥接线,电网额定电压10kV,电压波动系数0.95。 请回答下列问题。 当变流器空载整流电压为800V时,计算变流变压器的等值容量应为下列哪一项数值? ( ) A. 3464kV * A B.2100kV * A C.2000kY *
选项 A D.2826kV * A
答案 B
解析 .《电气传动自动化技术手册》(第二版)P426式(6-55)和式(6-56)。

猜你喜欢

发表评论
更多 网友评论0 条评论)
暂无评论

访问排行

Copyright © 2012-2014 恰考网 Inc. 保留所有权利。 Powered by tikuer.com

页面耗时0.0461秒, 内存占用1.03 MB, Cache:redis,访问数据库20次