某110kV变电站接地网范围为120mx150m,由15mx15m正方形网格组成,接地体为60mmx8mm2截面的镀锌扁钢,埋深0.8m。已知土壤电阻率均...

作者: rantiku 人气: - 评论: 0
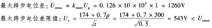
问题 某110kV变电站接地网范围为120mx150m,由15mx15m正方形网格组成,接地体为60mmx8mm2截面的镀锌扁钢,埋深0.8m。已知土壤电阻率均为ρ=300Ω·m,请回答下列问题。 若接地装置的接地电阻为1Ω,100kV有效接地系统计算用入地短路电流为10kA,接地短路电流持续时间为0.5s,最大接触电位差系数Ktmax= 0.206,计算最大接触电位差数值并判断下列哪一项是正确的? ( )
选项 A.8740V,不满足要求 B.1260V,满足要求 C.1260V,不满足要求 D.543.1V,满足要求
答案 C
解析 .《交流电气装置的接地设计规范》(GB/T 50065—2011)附录D及第4.2.2条式(4.2.2-2)(表层衰减系数取1)。 不满足要求。注:原题考查《交流电气装置的接地》(DL/T 621—1997)附录B式(B3)、式(B7)及第3.4条,此规范中无“表层衰减系数”参数。

猜你喜欢

发表评论
更多 网友评论0 条评论)
暂无评论

访问排行

Copyright © 2012-2014 恰考网 Inc. 保留所有权利。 Powered by tikuer.com

页面耗时0.0388秒, 内存占用1.03 MB, Cache:redis,访问数据库20次