计算当铝母线采用50 x5mm2时,已知铝母线最大允许应力σy = 120MPa,按机械强度允许的母线最大跨距应为下列哪一项数据? ( )(A...

作者: rantiku 人气: - 评论: 0
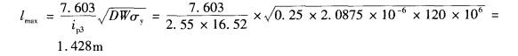
问题 计算当铝母线采用50 x5mm2时,已知铝母线最大允许应力σy = 120MPa,按机械强度允许的母线最大跨距应为下列哪一项数据? ( ) (A)0.8m (B)1.43m (C)2.86m (D)3.64m
选项
答案 B
解析 《工业与民用配电设计手册》(第三版)P209式(5-18)。

猜你喜欢

发表评论
更多 网友评论0 条评论)
暂无评论

访问排行

Copyright © 2012-2014 恰考网 Inc. 保留所有权利。 Powered by tikuer.com

页面耗时0.0348秒, 内存占用1.03 MB, Cache:redis,访问数据库19次