某变电所内设露天6/0.4kV变压器、室内6kV中压柜及0.4kV低压开关柜等设备,6kV系统为中性点不接地系统,低压釆用TN-S接地形式。已知条件:土壤...

作者: rantiku 人气: - 评论: 0
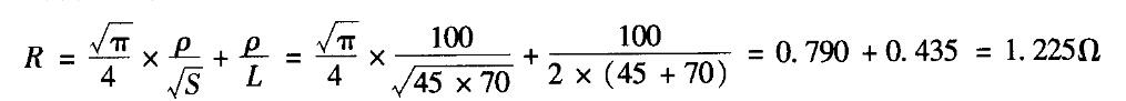
问题 某变电所内设露天6/0.4kV变压器、室内6kV中压柜及0.4kV低压开关柜等设备,6kV系统为中性点不接地系统,低压釆用TN-S接地形式。已知条件:土壤电阻率ρ= 100Ω?m,垂直接地体采用钢管,其直径d=50mm,长度L=2.5mm, 水平接地体采用扁钢,其尺寸为40mmx4mm,见下图。 请回答下列问题。 计算该变电所人工接地装置,包括水平和垂直接地体的复合接地装置的工频散流电阻值最接近下列哪一项数值? ( ) (A)0.5Ω (B)1.5Ω (C)4.0Ω (D)5.0Ω
选项
答案 B
解析 《交流电气装置的接地设计规范》(GB/T 50065-2011)附录A表A2中复合接地网的简易计算式。

猜你喜欢

发表评论
更多 网友评论0 条评论)
暂无评论

访问排行

Copyright © 2012-2014 恰考网 Inc. 保留所有权利。 Powered by tikuer.com

页面耗时0.0438秒, 内存占用1.03 MB, Cache:redis,访问数据库20次