某城市有一甲级写字楼,总建筑面积约7万m2,地下3层,地上24层,三层设有一多功能厅,地下室为车库。请分析回答下列问题。 该多功能厅长33m,宽15m...

作者: rantiku 人气: - 评论: 0
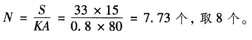
问题 某城市有一甲级写字楼,总建筑面积约7万m2,地下3层,地上24层,三层设有一多功能厅,地下室为车库。请分析回答下列问题。 该多功能厅长33m,宽15m,从地面到吊顶高度为9m,吊顶平整。在该多功能厅设置感烟火灾探测器,需要设置多少个?请列出解答过程。(修正系数取0.8)( ) (A)6 个 (B)8 个 (C)10 个 (D)12 个
选项
答案 B
解析 《火灾自动报警系统设计规范》(GB 50116-1998)第8.1.4条及式(8.1.4)。

猜你喜欢

发表评论
更多 网友评论0 条评论)
暂无评论

访问排行

Copyright © 2012-2014 恰考网 Inc. 保留所有权利。 Powered by tikuer.com

页面耗时0.0471秒, 内存占用1.03 MB, Cache:redis,访问数据库19次