—个10kV变电所,用架空线向6km处供电。额定功率为1800kW, 功率因数为0.85,釆用LJ型裸铝绞线,线路的允许电压损失为10%,环境温度35℃,...

作者: rantiku 人气: - 评论: 0
问题 —个10kV变电所,用架空线向6km处供电。额定功率为1800kW, 功率因数为0.85,釆用LJ型裸铝绞线,线路的允许电压损失为10%,环境温度35℃, 不计日照及海拔高度等影响,路径按经过居民区设计,LJ型裸铝绞线的载流量见下表。 计算按允许载流量选择最小允许导体截面积应为下列哪一项数值?请列出解答过程。 ( ) (A)25mm2 (B)35mm2 (C)50mm2(D)70mm2
选项
答案 B
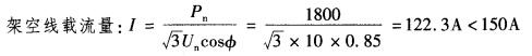
解析

猜你喜欢

发表评论
更多 网友评论0 条评论)
暂无评论

访问排行

Copyright © 2012-2014 恰考网 Inc. 保留所有权利。 Powered by tikuer.com

页面耗时0.0419秒, 内存占用1.03 MB, Cache:redis,访问数据库20次