某110kV用户变电站由地区电网(无限大电源容量)受电,有关系统接线和元件参数如图所示,在最大运行方式下,图中k点的三相短路电流最接近下列哪个数值? ()...

作者: rantiku 人气: - 评论: 0
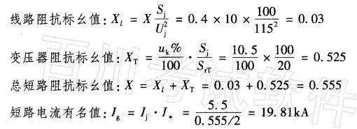
问题 某110kV用户变电站由地区电网(无限大电源容量)受电,有关系统接线和元件参数如图所示,在最大运行方式下,图中k点的三相短路电流最接近下列哪个数值? () (A)20.83kA (B)19.81kA (C)10.41kA (D)9.91kA
选项
答案 B
解析 依据:无明确条文,可参考《工业与民用配电设计手册》(第三版)第四章内容。

猜你喜欢

发表评论
更多 网友评论0 条评论)
暂无评论

访问排行

Copyright © 2012-2014 恰考网 Inc. 保留所有权利。 Powered by tikuer.com

页面耗时0.0423秒, 内存占用1.03 MB, Cache:redis,访问数据库20次