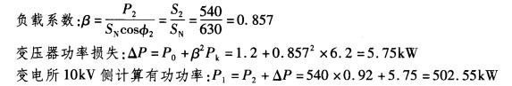
某车间变电所设置一台10/0.4kV、630kV.A变压器,其空载有功损耗1.2kW,满载有功损耗6.2kW。车间负荷数据见下表。假设变电所0. ...

作者: rantiku 人气: - 评论: 0
问题 某车间变电所设置一台10/0.4kV、630kV.A变压器,其空载有功损耗1.2kW,满载有功损耗6.2kW。车间负荷数据见下表。 假设变电所0. 4kV侧计算视在功率为540kV. A,功率因数为0. 92,问变电所10kV侧计算有功功率为哪一项? ( ) (A)593kW (B)506kW (C)503kW (D)497kW
选项
答案 C
解析 《钢铁企业电力设计手册》(上册)P291式(6-14)和式(6-17)。

猜你喜欢

发表评论
更多 网友评论0 条评论)
暂无评论

访问排行

Copyright © 2012-2014 恰考网 Inc. 保留所有权利。 Powered by tikuer.com

页面耗时0.0610秒, 内存占用1.03 MB, Cache:redis,访问数据库19次