某企业110kV变电站直流系统电压110V,釆用阀控式密闭铅酸蓄电池组,无端电池,单体电池浮充电2.23V,直流系统不带压降装置,充电装置釆用一组20A的...

作者: rantiku 人气: - 评论: 0
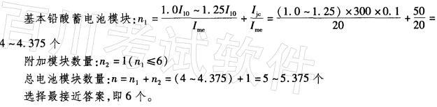
问题 某企业110kV变电站直流系统电压110V,釆用阀控式密闭铅酸蓄电池组,无端电池,单体电池浮充电2.23V,直流系统不带压降装置,充电装置釆用一组20A的高频开关电源模块若干个,站内控制负荷、动力负荷合并供电。 该变电站控制保护设备的经常负荷电流约为50A,选择蓄电池容量为300A4, 已知该类型电池的10h放电率I10=0. 1C,其中C为电池容量,请计算充电装置的20
选项 A 高频开关电源模块数量最接近下列哪一项数值? ( ) (A)3个 (B)6个 (C)9 个 (D)12 个
答案 B
解析 《电力工程直流系统设计技术规程》(DI7T 5044 — 2004)附录C. 2. 1。

猜你喜欢

发表评论
更多 网友评论0 条评论)
暂无评论

访问排行

Copyright © 2012-2014 恰考网 Inc. 保留所有权利。 Powered by tikuer.com

页面耗时0.0374秒, 内存占用1.03 MB, Cache:redis,访问数据库20次