某城市道路,路面为沥青混凝土,路宽21m,釆用双侧对称布置灯,灯具仰角φ为15°,见下图。道路表面为均匀漫反射表面,其表面亮度为1. 0cd/m2...

作者: rantiku 人气: - 评论: 0
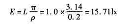
问题 某城市道路,路面为沥青混凝土,路宽21m,釆用双侧对称布置灯,灯具仰角φ为15°,见下图。 道路表面为均匀漫反射表面,其表面亮度为1. 0cd/m2,已知路面反射比为0.2, 则道路表面照度值应为下列哪一项数据? ( ) (A)101x (B)161x (C)211x (D)311x
选项
答案 B
解析 《照明设计手册》(第二版)P2式(1-7),路面为均匀漫反射。

猜你喜欢

发表评论
更多 网友评论0 条评论)
暂无评论

访问排行

Copyright © 2012-2014 恰考网 Inc. 保留所有权利。 Powered by tikuer.com

页面耗时0.0370秒, 内存占用1.03 MB, Cache:redis,访问数据库19次