有一台10kV,800kW异步电动机,cosΦ=0.8,效率为0.92,启动电流倍数为6.5,可自启动,电动机启动时间为10s,电流互感器变比为100/5...

作者: rantiku 人气: - 评论: 0
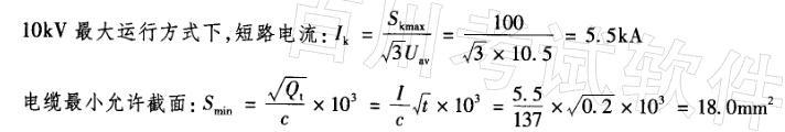
问题 有一台10kV,800kW异步电动机,cosΦ=0.8,效率为0.92,启动电流倍数为6.5,可自启动,电动机启动时间为10s,电流互感器变比为100/5,保护装置接于相电流,10kV母线最小运行方式下短路容量为75MV*A,10kV母线最大运行方式下短路容量为100MV*A,10kV电网总单相接地电容电流Icz=9.5A,电动机的电容电流Icm=0.5A,电流速断的可靠系数取1.4,请回答下列问题。 如果该电动机由10kV母线经电缆供电,短路电流持续时间为0.2s,计算选用铜芯交联聚乙烯电力电缆的最小电缆截面应为下列哪一项数值? ( ) (A)35mm2 (B)50mm2 (C)25mm2 ( D) 10mm2
选项
答案 C
解析 《工业与民用配电设计手册》(第三版)P124倒数第8行“最大短路电流值用以校验电气设备的动稳定、热稳定”,以及P211、212式(5-26)及表5-9。

猜你喜欢

发表评论
更多 网友评论0 条评论)
暂无评论

访问排行

Copyright © 2012-2014 恰考网 Inc. 保留所有权利。 Powered by tikuer.com

页面耗时0.0411秒, 内存占用1.03 MB, Cache:redis,访问数据库15次