有一台10kV,800kW异步电动机,cosΦ=0.8,效率为0.92,启动电流倍数为6.5,可自启动,电动机启动时间为10s,电流互感器变比为100/5...

作者: rantiku 人气: - 评论: 0
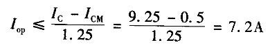
问题 有一台10kV,800kW异步电动机,cosΦ=0.8,效率为0.92,启动电流倍数为6.5,可自启动,电动机启动时间为10s,电流互感器变比为100/5,保护装置接于相电流,10kV母线最小运行方式下短路容量为75MV*A,10kV母线最大运行方式下短路容量为100MV*A,10kV电网总单相接地电容电流Icz=9.5A,电动机的电容电流Icm=0.5A,电流速断的可靠系数取1.4,请回答下列问题。 计算电动机单相接地保护的一次动作电流应为下列哪一项数值? () (A)7.2A (B)8
选项 A (C)7.7s (D)8.2A
答案 A
解析 《工业与民用配电设计手册》(第三版)P325表(7-22)单相接地保护部分。

猜你喜欢

发表评论
更多 网友评论0 条评论)
暂无评论

访问排行

Copyright © 2012-2014 恰考网 Inc. 保留所有权利。 Powered by tikuer.com

页面耗时0.0545秒, 内存占用1.03 MB, Cache:redis,访问数据库19次