如图所示为110kV配电装置变压器间隔断面图(局部),已知110kV系统为中性点有效接地系统,变压器为油浸式。请回答下列问题。若变电所有一支高40...

作者: rantiku 人气: - 评论: 0
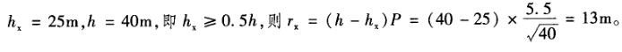
问题 如图所示为110kV配电装置变压器间隔断面图(局部),已知110kV系统为中性点有效接地系统,变压器为油浸式。 请回答下列问题。 若变电所有一支高40m的独立避雷针,欲对高25m的建筑物进行直击雷保护,计算其保护半径为下列哪一项数值? ( ) (A)8.7m (B)13m (C)16m (D)21m
选项
答案 B
解析 《交流电气装置的过电压保护和绝缘配合》(DL/T620-1997)第5.2.1条b款。

猜你喜欢

发表评论
更多 网友评论0 条评论)
暂无评论

访问排行

Copyright © 2012-2014 恰考网 Inc. 保留所有权利。 Powered by tikuer.com

页面耗时0.0484秒, 内存占用1.03 MB, Cache:redis,访问数据库14次