已知一企业变电所电源引自地区变电站,已知条件如下(见图):1)35kV线路电源侧(公共接入点)最大和最小短路容量分别为590MV*A和500MV*A,...

作者: rantiku 人气: - 评论: 0
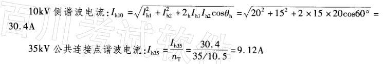
问题 已知一企业变电所电源引自地区变电站,已知条件如下(见图): 1)35kV线路电源侧(公共接入点)最大和最小短路容量分别为590MV*A和500MV*A,35kV线路电源处公共接入点供电设备容量50MV*A;该电力用户用电协议容量20MV*A。 2)该电力用户35/10kV变电所10kV母线最大和最小短路容量分别为157MV*A 和150MV*A。 3)该电力用户的车间A、B的10kV母线上含有非线性负荷。 4)该电力用户向车间C釆用U-185铝绞线架空线路供电,线路长5.4km。 请回答下列问题。 在车间A、B的10kV母线上,非线性负荷产生的7次谐波分别为20A和15A,二者相位角相差60°,若车间A、B非线性负荷产生的谐波全部流入35kV电源,该35kV电流回路7次谐波计算值为多少? ( ) (A)8.7A (B)10.5A (C)9.1
选项 A (D)7.5A
答案 C
解析 《电能质量公用电网谐波》(GB/T 14549-1993)附录C式(C4)。

猜你喜欢

发表评论
更多 网友评论0 条评论)
暂无评论

访问排行

Copyright © 2012-2014 恰考网 Inc. 保留所有权利。 Powered by tikuer.com

页面耗时0.0671秒, 内存占用1.03 MB, Cache:redis,访问数据库20次