某新建办公建筑,地上共29层,层高均为4m,地下共2层,其中地下二层为汽车库,地下一层机电设备用房并设有电信进线机房,裙房共4层,5 ~29层为开敞办公空...

作者: rantiku 人气: - 评论: 0
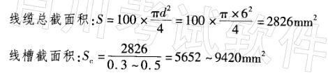
问题 某新建办公建筑,地上共29层,层高均为4m,地下共2层,其中地下二层为汽车库,地下一层机电设备用房并设有电信进线机房,裙房共4层,5 ~29层为开敞办公空间,每层开敞办公面积为1200m2,各层平面相同,各层电信竖井位置均上下对应,楼内建筑智能化系统均按智能建筑甲级标准设计。 请回答下列问题。 如果自电信竖井配出至二层平面的综合布线专用金属线槽内设有100根直径为6mm的非屏蔽超五类线缆,则此处应选用下列哪一项规格的金属线槽可以满足规范要求?请说明依据。 (A)75x50mm (B)75 x75mm (C) 100 x75mm (D)50 x50mm
选项
答案 C
解析 《综合布线系统工程设计规范》(GB 50311 -2007)第6.5.6条:布防缆线在线槽内的截面利用率为30~50%。 因此,100 x75 = 7500mm2在此区间范围内。
发表评论
更多 网友评论0 条评论)
暂无评论

访问排行

Copyright © 2012-2014 恰考网 Inc. 保留所有权利。 Powered by tikuer.com

页面耗时0.0270秒, 内存占用1.03 MB, Cache:redis,访问数据库16次