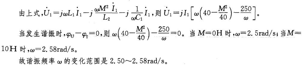
如图所示电路中,L1=L2 =40H,C=1000φF,M从OH变至10H时,谐振角频率的变化范围是()。A. 10~16. 67rad/sB. ...

作者: rantiku 人气: - 评论: 0
问题 如图所示电路中,L1=L2 =40H,C=1000φF,M从OH变至10H时,谐振角频率的变化范围是()。
选项 A. 10~16. 67rad/s B. 0~∞rad/s C. 2. 50~2.58rad/s D.不能确定
答案 C
解析

猜你喜欢

发表评论
更多 网友评论0 条评论)
暂无评论

Copyright © 2012-2014 恰考网 Inc. 保留所有权利。 Powered by tikuer.com

页面耗时0.0387秒, 内存占用1.02 MB, Cache:redis,访问数据库20次