电路如图所示,电压U含基波和三次谐波,基波角频率为104,若要求U1不含基波而将U1中三次谐波分量全部取出。则电感L应为( )。A. 2.5mHB...

作者: rantiku 人气: - 评论: 0
问题 电路如图所示,电压U含基波和三次谐波,基波角频率为104,若要求U1不含基波而将U1中三次谐波分量全部取出。则电感L应为( )。
选项 A. 2.5mH B. 5mH C. 2mH D. 1mH
答案 D
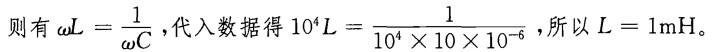
解析 解由题意知,U含有基波和三次谐波。若要求U1不含有基波而将U中的三次谐波分量全部取出,则需视L与10μF电容发生串联谐振使其短路。

猜你喜欢

发表评论
更多 网友评论0 条评论)
暂无评论

Copyright © 2012-2014 恰考网 Inc. 保留所有权利。 Powered by tikuer.com

页面耗时0.0607秒, 内存占用1.03 MB, Cache:redis,访问数据库20次