水轮发电机转速为150r/min,?=50Hz,主磁极数为()。A. 10B. 20C. 30D. 40

作者: rantiku 人气: - 评论: 0
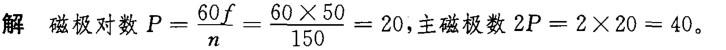
问题 水轮发电机转速为150r/min,?=50Hz,主磁极数为()。
选项 A. 10 B. 20 C. 30 D. 40
答案 D
解析

猜你喜欢

发表评论
更多 网友评论0 条评论)
暂无评论

Copyright © 2012-2014 恰考网 Inc. 保留所有权利。 Powered by tikuer.com

页面耗时0.0341秒, 内存占用1.01 MB, Cache:redis,访问数据库20次