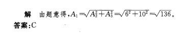
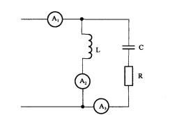
图中正弦电流电路发生谐振时,电流表A2和A3的读数分别为6A和10A,则电流表A1的读数为()。

作者: rantiku 人气: - 评论: 0
问题 图中正弦电流电路发生谐振时,电流表A2和A3的读数分别为6A和10A,则电流表A1的读数为()。
选项
答案 C
解析

猜你喜欢

发表评论
更多 网友评论0 条评论)
暂无评论

Copyright © 2012-2014 恰考网 Inc. 保留所有权利。 Powered by tikuer.com

页面耗时0.0326秒, 内存占用1.01 MB, Cache:redis,访问数据库18次