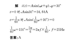
已知正弦电流的初相为30°,在t=0时的瞬时值是34.64A,经过后电流第一次下降为0,则其频率为()。A. 25HzB 50HzC. 314Hz...

作者: rantiku 人气: - 评论: 0
问题 已知正弦电流的初相为30°,在t=0时的瞬时值是34.64A,经过后电流第一次下降为0,则其频率为()。
选项 A. 25Hz B 50Hz C. 314Hz D. 628Hz
答案 A
解析

猜你喜欢

发表评论
更多 网友评论0 条评论)
暂无评论

Copyright © 2012-2014 恰考网 Inc. 保留所有权利。 Powered by tikuer.com

页面耗时0.0371秒, 内存占用1.01 MB, Cache:redis,访问数据库20次