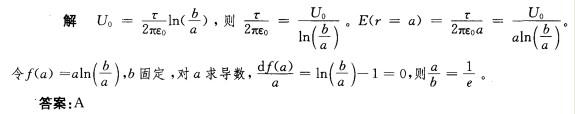
一高压同轴圆柱电缆,内导体的半径a,外导体的内半径为b,其值可以自由选定。若a固定,要使内导体表面上场强最小,a与b的比值应是()。A.1/eB.1/...

作者: rantiku 人气: - 评论: 0
问题 一高压同轴圆柱电缆,内导体的半径a,外导体的内半径为b,其值可以自由选定。若a固定,要使内导体表面上场强最小,a与b的比值应是()。
选项 A.1/e B.1/2 C.1/4 D. 1/8
答案 A
解析

猜你喜欢

发表评论
更多 网友评论0 条评论)
暂无评论

Copyright © 2012-2014 恰考网 Inc. 保留所有权利。 Powered by tikuer.com

页面耗时0.0420秒, 内存占用1.02 MB, Cache:redis,访问数据库19次