如图所示,电路在开关S闭合时为对称三相电路,且三个电流表读数均为30A,Z=10-j10Ω。开关S闭合时,三个负载Z的总无功功率为( )。A. -9k...

作者: rantiku 人气: - 评论: 0
问题 如图所示,电路在开关S闭合时为对称三相电路,且三个电流表读数均为30A,Z=10-j10Ω。开关S闭合时,三个负载Z的总无功功率为( )。
选项 A. -9kVar B. 9kVar C. -150kVar D. 150kVar
答案 A
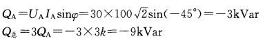
解析 解将△连接变换成Y连接,如图所示。 答案:A

猜你喜欢

发表评论
更多 网友评论0 条评论)
暂无评论

Copyright © 2012-2014 恰考网 Inc. 保留所有权利。 Powered by tikuer.com

页面耗时0.0388秒, 内存占用1.03 MB, Cache:redis,访问数据库20次